Вернуться к содержанию рабочей тетради
Сложение и вычитание (письменные приёмы)


Чтобы найти неизвестное слагаемое, нужно из суммы вычесть известное слагаемое.
Выполни вычисления или запиши такие пропущенные числа, чтобы получились верные равенства.

Повтори случаи табличного сложения и вычитания.
Запись, в которой есть знак РАВНО, называется РАВЕНСТВОМ.
Запись, в которой есть знак БОЛЬШЕ или МЕНЬШЕ, называется НЕРАВЕНСТВОМ.
Решение

Пояснение
| 42 + 5 = (40 + 2) + 5 = 40 + (2 + 5) = 40 + 7 = 47 | 87 - 6 = (80 + 7) - 6 = 80 + (7 - 6) = 80 + 1 = 81 |
| 34 + 3 = 30 + (4 + 3) = 30 + 7 = 37 | 59 - 4 = 50 + (9 - 4) = 50 + 5 = 55 |
| 62 + 8 = 60 + (2 + 8) = 60 + 10 = 70 | 90 - 7 = 80 + (10 - 7) = 80 + 3 = 83 |
| 15 - 5 + 6 = 10 + 6 = 16 | |
| 23 - 20 + 8 = 3 + 8 = 3 + 7 + 1 = 10 + 1 = 11 | |
| 36 - 30 + 9 = 6 + 9 = 6 + 4 + 5 = 10 + 5 = 15 | |
Запиши знаки действий "+" и "-" и, если надо, расставь скобки так, чтобы получились верные равенства.

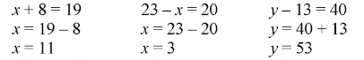
Реши уравнения.

Решить уравнение – это значит найти такое значение неизвестного числа, при котором это равенство станет верным.
Чтобы найти неизвестное вычитаемое, нужно из уменьшаемого вычесть разность.
Чтобы найти уменьшаемое, нужно к разности прибавить вычитаемое.
Чтобы найти неизвестное слагаемое, нужно из суммы вычесть известное слагаемое.
Вернуться к содержанию рабочей тетради