Вернуться к содержанию учебника
1. Объясни, как выполнено сложение.

Повтори состав трёхзначных чисел, а также как складывать и вычитать в столбик.
1) Пишу (единицы под единицами, десятки под десятками, сотни под сотнями): 437 + 95.
Складываю единицы: 7 + 5 = 12.
12 ед. - это 1 дес. 2 ед.; 2 ед. пишу под единицами, а 1 де)с. прибавлю к десяткам.
Складываю десятки: 3 + 9 = 12, да ещё 1.
12 + 1 = 13
13 дес. - это 1 сот. 3 дес.; 3 дес. пишу под десятками, а 1 сот. прибавлю к сотням.
Складываю сотни: 4, да ещё 1.
4 + 1 = 5.
Пишу под сотнями 5.
Читаю ответ: 532.
2) Пишу (единицы под единицами, десятки под десятками, сотни под сотнями): 326 + 279.
Складываю единицы: 6 + 9 = 15.
15 ед. - это 1 дес. 5 ед.; 5 ед. пишу под единицами, а 1 дес. прибавлю к десяткам.
Складываю десятки: 2 + 7 = 9, да ещё 1.
9 + 1 = 10. 10 дес. - это 1 сот. 0 дес; 0 дес. пишу под десятками, а 1 сот. прибавлю к сотням.
Складываю сотни: 3 + 2 = 5, да ещё 1.
5 + 1 = 6.
Пишу под сотнями 6.
Читаю ответ: 605.
3) Пишу (единицы под единицами, десятки под десятками): 89 + 78.
Складываю единицы: 9 + 8 = 17.
17 ед. - это 1 дес. 7 ед.; 7 ед. пишу под единицами, а 1 дес. прибавлю к десяткам.
Складываю десятки: 8 + 7 = 15, да ещё 1.
15 + 1 = 16.
16 дес. - это 1 сот. и 6 дес.; 6 дес. пишу под десятками, а 1 сот. прибавлю к сотням.
Складываю сотни: 0, да ещё 1.
0 + 1 = 1.
Пишу 1 сот. под сотнями.
Читаю ответ: 167.
2. Реши с объяснением.
| 456 + 252 | 690 + 188 | 23 + 338 |
Повтори, как складываются трёхзначные числа.
Решение

Пояснение
1) Пишу (единицы под единицами, десятки под десятками, сотни под сотнями): 456 + 252.
Складываю единицы: 6 + 2 = 8.
Пишу под единицами 8.
Складываю десятки: 5 + 5 = 10
10 дес. - это 1 сот. и 0 дес.; 0 дес. пишу под десятками, а 1 сот. прибавлю к сотням.
Складываю сотни: 4 + 2 = 6, да ещё 1.
6 + 1 = 7.
Пишу под сотнями 7.
Читаю ответ: 708.
2) Пишу (единицы под единицами, десятки под десятками, сотни под сотнями): 690 + 188.
Складываю единицы: 0 + 8 = 8.
Пишу под единицами 8.
Складываю десятки: 9 + 8 = 17
17 дес. - это 1 сот. и 7 дес.; 7 дес. пишу под десятками, в 1 сот. прибавлю к сотням.
Складываю сотни: 6 + 1 = 7, да ещё 1.
7 + 1 = 8
Пишу под сотнями 8.
Читаю ответ: 878.
3) Пишу (единицы под единицами, десятки под десятками, сотни под сотнями): 23 + 338.
Складываю единицы: 3 + 8 = 11
11 ед. - это 1 дес. и 1 ед.; 1 ед. пишу под единицами, а 1 дес. прибавлю к десяткам.
Складываю десятки: 2 + 3 = 5, да ещё 1.
5 + 1 = 6
Пишу под десятками 6.
Складываю сотни: 0 + 3 = 3
Пишу под сотнями 3.
Читаю ответ: 361.
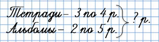
3. Коля купил 3 тетради по
р. и 2 альбома по
р. Сколько денег он заплатил? Дополни условие и реши задачу.
Ты можешь вставить другие числа.
Вариант ответа #1:

Пояснение
Коля купил 3 тетради по 10 р. и 2 альбома по 20 р. Сколько денег он заплатил?
Вариант ответа #2:
Решение
Коля купил 3 тетради по 4 р. и 2 альбома по 5 р. Сколько денег он заплатил?
1) 4 • 3 = 12 (р.) - заплатил за тетради.
2) 5 • 2 = 10 (р.) - заплатил за альбомы.
3) 12 + 10 = 22 (р.)
Ответ: 22 рубля заплатил.
Пояснение

Выберите год учебника
Стр. 71 учебника 2011-2022:
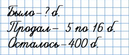
4. В театральной кассе было 480 билетов. Кассир продал билеты на 5 спектаклей, по 16 билетов на каждый. Сколько ещё билетов осталось в кассе?
Составь задачу, обратную данной, и реши её.
Стр. 71 учебника 2023-2024:
4. В театральной кассе было 480 билетов. Кассир продал билеты на 5 спектаклей, по 16 билетов на каждый. Сколько ещё билетов осталось в кассе?
Сколько можно составить задач, обратных данной?
Повтори, что такое обратные задачи и внетабличное умножение.
Стр. 71 учебника 2011-2022:
Решение
1) 16 • 5 = 80 (б.) - продал кассир.
2) 480 - 80 = 400 (б.)
Ответ: 400 билетов осталось.
Обратная задача:
После того, как кассир продал билеты на 5 спектаклей, по 16 билетов на каждый, в кассе осталось 400 билетов. Сколько было билетов в кассе до продажи?
1) 16 • 5 = 80 (б.) - продал кассир.
2) 400 + 80 = 480 (б.)
Ответ: 480 билетов было в кассе.
Пояснение

Обратная задача:

Стр. 71 учебника 2023-2024:
Решение
1) 16 • 5 = 80 (б.) - продал кассир.
2) 480 - 80 = 400 (б.)
Ответ: 400 билетов осталось.
Обратная задача 1:
После того, как кассир продал билеты на 5 спектаклей, по 16 билетов на каждый, в кассе осталось 400 билетов. Сколько было билетов в кассе до продажи?
1) 16 • 5 = 80 (б.) - продал кассир.
2) 400 + 80 = 480 (б.)
Ответ: 480 билетов было в кассе.
Обратная задача 2:
В театральной кассе было 480 билетов.После того, как кассир продал билеты на 5 спектаклей, в кассе осталось 400 билетов. Сколько продали билетов на каждый спектакль?
1) 480 - 400 = 80 (б.) - продали.
2) 80 : 5 = 16 (б.)
Ответ: продали по 16 билетов на каждый спектакль.
Пояснение

Обратная задача 1:

Обратная задача 2:

5.
| 54 : 9 • 13 | 48 : 2 - 18 : 9 |
| 72 : 8 • 11 | 64 : 8 + 84 : 4 |
| 8 • 8 : 4 | 326 • 1 |
| 9 • 9 : 3 | 754 • 0 |
Решение
| 54 : 9 • 13 = 78 | 48 : 2 - 18 : 9 = 22 |
| 72 : 8 • 11 = 99 | 64 : 8 + 84 : 4 = 29 |
| 8 • 8 : 4 = 16 | 326 • 1 = 326 |
| 9 • 9 : 3 = 27 | 754 • 0 = 0 |
Пояснение
| 1 столбик |
| 54 : 9 • 13 = 6 • 13 = 78 1) 54 : 9 = 6 2) 6 • 13 = 6 • (10 + 3) = 6 • 10 + 6 • 3 = 60 + 18 = 78 |
| 72 : 8 • 11 = 9 • 11 = 99 1) 72 : 8 = 9 2) 9 • 11 = 9 • (10 + 1) = 9 • 10 + 9 • 1 = 90 + 9 = 99 |
| 2 столбик |
| 8 • 8 : 4 = 64 : 4 = 16 1) 8 • 8 = 64 2) 64 : 4 = (40 + 24) : 4 = = 40 : 4 + 24 : 4 = 10 + 6 = 16 |
| 9 • 9 : 3 = 81 : 3 = 27 1) 9 • 9 = 81 2) 81 : 3 = (60 + 21) : 3 = = 60 : 3 + 21 : 3 = 20 + 7 = 27 |
| 3 столбик |
| 48 : 2 - 18 : 9 = 22 1) 48 : 2 = (40 + 8) : 2 = 40 : 2 + 8 : 2 = 20 + 4 = 24 2) 18 : 9 = 2 3) 24 - 2 = 22 |
| 64 : 8 + 84 : 4 1) 64 : 8 = 8 2) 84 : 4 = (80 + 4) : 4 = 80 : 4 + 4 : 4 = 20 + 1 = 21 3) 8 + 21 = 29 |
Выберите год учебника
Стр. 71 учебника 2011-2022:
6. Найди, не вычисляя, наименьшее произведение.
1) 12 • 2 • 4
2) 3 • 12 • 4
3) 2 • 2 • 12
Стр. 71 учебника 2023-2024:
6. Найди наименьшее произведение.
1) 12 • 2 • 4
2) 3 • 12 • 4
3) 2 • 2 • 12
Повтори, как называются числа при умножении.
Решение
2 • 2 • 12
Пояснение
Сначала сравним произведения
12 • 2 • 4 и 3 • 12 • 4.
В этих произведениях есть одинаковые множители, это 12 и 4. Значит, нужно сравнивать только 2 и 3. Поскольку 2 < 3, то 12 • 2 • 4 < 3 • 12 • 4.
Затем сравним произведения
12 • 2 • 4 и 2 • 2 • 12.
В этих произведениях есть одинаковые множители, это 12 и 2. Значит, нужно сравнивать только 4 и 2. Поскольку 4 > 2, то 12 • 2 • 4 > 2 • 2 • 12.
Так как 3 • 12 • 4 > 12 • 2 • 4, а
12 • 2 • 4 > 2 • 2 • 12,
то 3 • 12 • 4 > 12 • 2 • 4 > 2 • 2 • 12.
Вычисли.
| 528 + 190 | 246 + 85 | 84 + 276 |
Повтори, как выполняется сложение трёхзначных чисел.
Решение

Пояснение
Пишу (единицы под единицами, десятки под десятками, сотни под сотнями): 528 + 190.
Складываю единицы: 8 + 0 = 8.
Пишу под единицами 8.
Складываю десятки: 2 + 9 = 11.
11 дес. - это 1 сот. 1 дес.; 1 дес. пишу под десятками, а 1 сот. прибавлю к сотням.
Складываю сотни: 5 + 1 = 6, да ещё 1.
6 + 1 = 7.
Пишу под сотнями 7.
Читаю ответ: 718.
Пишу (единицы под единицами, десятки под десятками, сотни под сотнями): 246 + 85.
Складываю единицы: 6 + 5 = 11.
11 ед. - это 1 дес. 1 ед., 1 ед. пишу под единицами, а 1 дес. прибавлю к десяткам.
Складываю десятки: 4 + 8 = 12, да ещё 1.
12 + 1 = 13.
13 дес. - это 1 сот. 3 дес.; 3 дес. пишу под десятками, а 1 сот. прибавлю к сотням.
Складываю сотни: 2 + 0 = 2, да ещё 1.
2 + 1 = 3.
Пишу под сотнями 3.
Читаю ответ: 331.
Пишу (единицы под единицами, десятки под десятками, сотни под сотнями): 84 + 276.
Складываю единицы: 4 + 6 = 10.
10 ед. - это 1 дес. 0 ед.; 0 ед. пишу под единицами, а 1 дес. прибавлю к десяткам.
Складываю десятки: 8 + 7 = 15, да ещё 1.
15 + 1 = 16.
16 дес. - это 1 сот. 6 дес.; 6 дес. пишу под десятками, а 1 сот. прибавлю к сотням.
Складываю сотни: 0 + 2 = 2, да ещё 1.
2 + 1 = 3.
Пишу под сотнями 3.
Читаю ответ: 360.
Ребусы:

Вернуться к содержанию учебника