Номер 285 - ГДЗ Математика 6 класс. Мерзляк, Полонский. Учебник. Страница 58

Вернуться к содержанию учебника

Страница 58

282 283 284 285 286 287 288

Вопрос

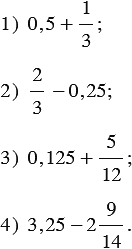
Преобразуйте десятичные дроби в обыкновенные и вычислите:

Подсказка

Вспомните:

  1. Обыкновенные дроби.
  2. Десятичная запись дробных чисел.
  3. Смешанные числа.
  4. Сложение и вычитание дробей с одинаковыми знаменателями.
  5. Сложение и вычитание дробей с разными знаменателями и смешанных чисел.
  6. Основное свойство дроби.
  7. Приведение дробей к общему знаменателю.

Ответ


Вернуться к содержанию учебника