Вернуться к содержанию учебника
Упражнения § 2. Страница 15
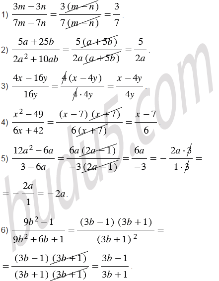
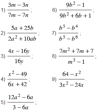
33 34 35 36 37 38 39 40 41 42 43
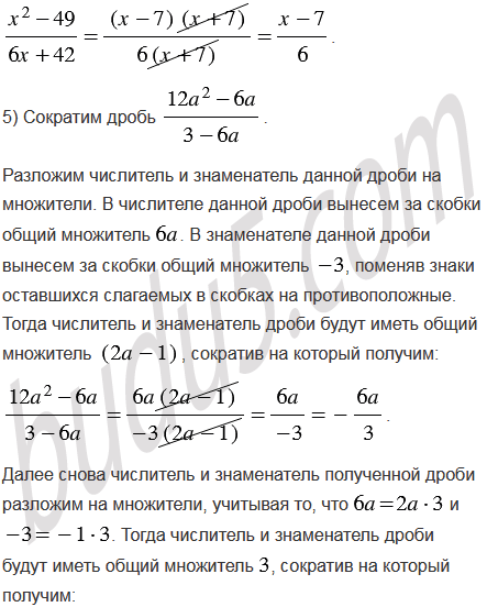
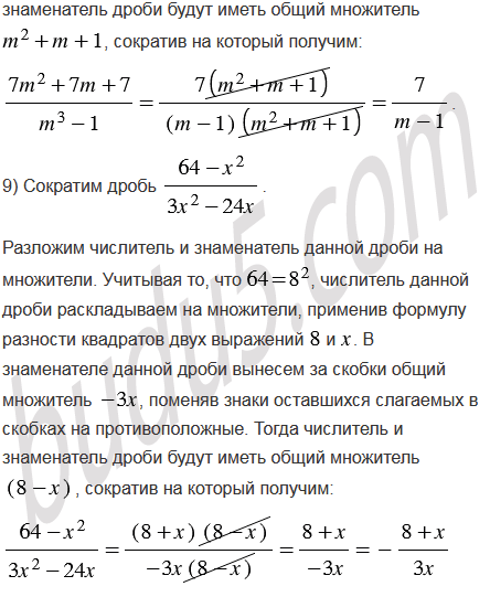
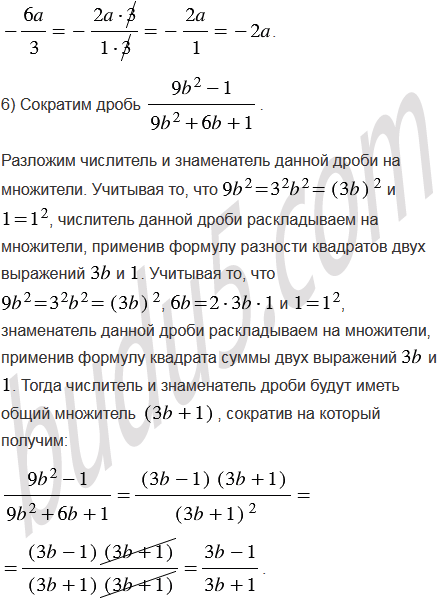
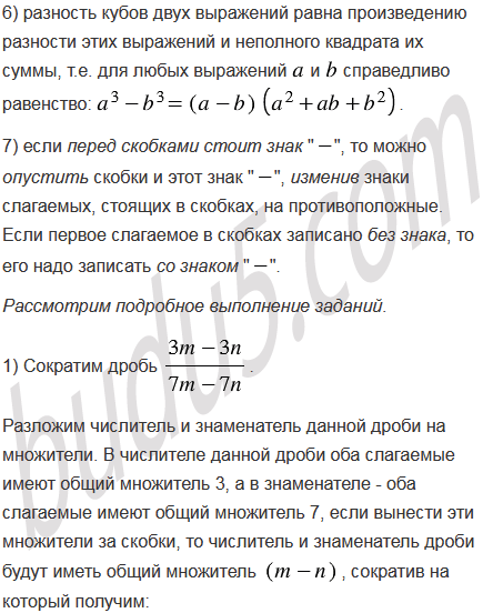
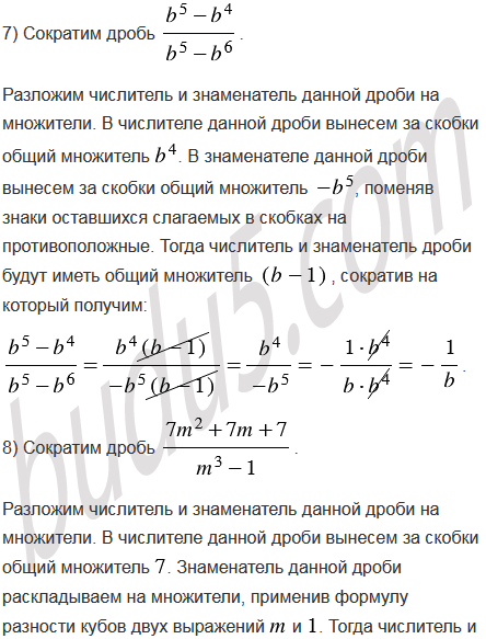
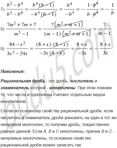
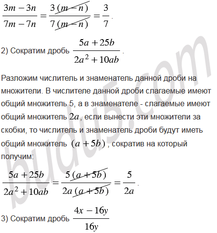
Сократите дробь:
Вспомните: