Вернуться к содержанию учебника
Выберите год учебника
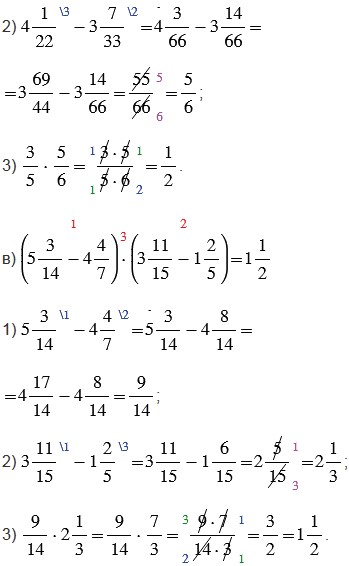
№2.309 учебника 2023-2024 (стр. 85):
Найдите значение выражения:

№2.309 учебника 2021-2022 (стр. 80):
Выразите в процентах:
а)
;
б) 0,8;
в) 0,24;
г)
;
д)
;
е)
.
№2.309 учебника 2023-2024 (стр. 85):
Вспомните:
№2.309 учебника 2021-2022 (стр. 80):
Вспомните:
№2.309 учебника 2023-2024 (стр. 85):


Пояснения:
Действиями первой ступени называют сложение и вычитание чисел, а действиями второй ступени - умножение и деление чисел.
При вычислении значений выражений порядок выполнения действий определяют следующие правила:
1. Если выражение содержит только действия одной ступени и в нем нет скобок, то действия выполняют по порядку слева направо.
2. Если в выражении нет скобок, то сначала выполняют действия второй ступени, потом - действия первой ступени.
3. Если в выражении есть скобки есть скобки, то сначала выполняют действия в скобках (учитывая правила 1 и 2).
Красные числа, стоящие сверху над действиями, показывают в каком порядке нужно выполнять действия.
Вычисления выполняем по следующим правилам:
1) чтобы найти сумму смешанных чисел, надо: дробные части этих чисел привести к наименьшему общему знаменателю; отдельно выполнить сложение целых и отдельно дробных частей; при необходимости сократить дробь (разделить числитель и знаменатель дроби на их наибольший общий делитель), выделить целую часть (когда числитель больше знаменателя) и прибавить ее к полученной целой части;
2) чтобы из единицы вычесть правильную дробь, нужно единицу представить в виде неправильной дроби с одинаковыми числителем и знаменателем, равными знаменателю вычитаемой дроби;
3) чтобы найти разность смешанных чисел, надо: дробные части этих чисел привести к наименьшему общему знаменателю; если дробная часть уменьшаемого больше дробной части вычитаемого, то надо отдельно вычесть целые и отдельно дробные части и результаты сложить; если дробная часть уменьшаемого меньше дробной части вычитаемого, то надо превратить ее в неправильную дробь, уменьшив на единицу целую часть, и отдельно вычесть целые и отдельно дробные части и результаты сложить; при необходимости сократить дробь (разделить числитель и знаменатель дроби на их наибольший общий делитель);
4) чтобы найти сумму (разность) двух дробей с одинаковыми знаменателями, нужно сложить (вычесть) их числители, а знаменатель оставить прежним;
5) произведением двух дробей является дробь, числитель которой равен произведению числителей, а знаменатель - произведению знаменателей. Чтобы вычисления были проще, не надо перемножать сразу, лучше сделать это после сокращения. Сократить дробь - значит, разделить ее числитель и знаменатель на одно и то же число (наибольший общий делитель);
6) чтобы выполнить умножение смешанных чисел, нужно записать эти числа в виде неправильных дробей, а затем воспользоваться правилом умножения дробей.
Чтобы преобразовать смешанное число в неправильную дробь, надо целую часть числа умножить на знаменатель дробной части и к полученному произведению прибавить числитель дробной части; эту сумму записать как числитель неправильной дроби, а в ее знаменатель записать знаменатель дробной части смешанного числа.
Чтобы неправильную дробь, числитель которой нацело не делится на знаменатель, преобразовать в смешанное число, надо числитель разделить на знаменатель; полученное неполное частное записать как целую часть смешанного числа, а остаток - как числитель его дробной части.
№2.309 учебника 2021-2022 (стр. 80):

Пояснения:
Любую десятичную дробь или любое натуральное можно записать в процентах. Для этого нужно десятичную дробь или натуральное число умножить на 100 и к результату приписать знак %.
Чтобы обыкновенную дробь выразить в процентах, ее сначала, нужно преобразовать в десятичную дробь, для этого, используя основное свойство дроби, умножаем числитель и знаменатель дроби, на такой дополнительный множитель, чтобы в знаменателе дроби получилась единица с нулями, то есть 10, 100, 1000 и т.д., а затем преобразуем полученную обыкновенную дробь в десятичную, учитывая то, что количество знаков после запятой в десятичной дроби совпадает с количеством нулей в знаменателе обыкновенной дроби, далее десятичную дробь преобразуем в проценты.
Чтобы представить смешанное число в процентах, его сначала нужно преобразовать в неправильную обыкновенную дробь, затем в десятичную дробь и далее в проценты. Чтобы преобразовать смешанное число в неправильную дробь, надо целую часть числа умножить на знаменатель дробной части и к полученному произведению прибавить числитель дробной части; эту сумму записать как числитель неправильной дроби, а в ее знаменатель записать знаменатель дробной части смешанного числа.
Вернуться к содержанию учебника