Номер 575 - ГДЗ Алгебра 7 класс. Мерзляк, Полонский. Учебник. Страница 105

Вернуться к содержанию учебника

Страница 105

572 573 574 575 576 577 578

Вопрос

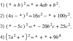
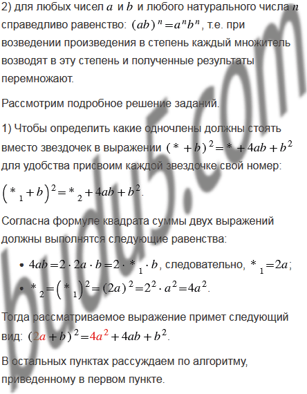
Замените звездочки такими одночленами, чтобы образовалось тождество:

Подсказка

Ответ


Вернуться к содержанию учебника