Номер 580 - ГДЗ Алгебра 7 класс. Мерзляк, Полонский. Учебник. Страница 105

Вернуться к содержанию учебника

Страница 105

577 578 579 580 581 582 583

Вопрос

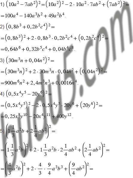
Выполните возведение в квадрат:

Подсказка

Ответ


Вернуться к содержанию учебника